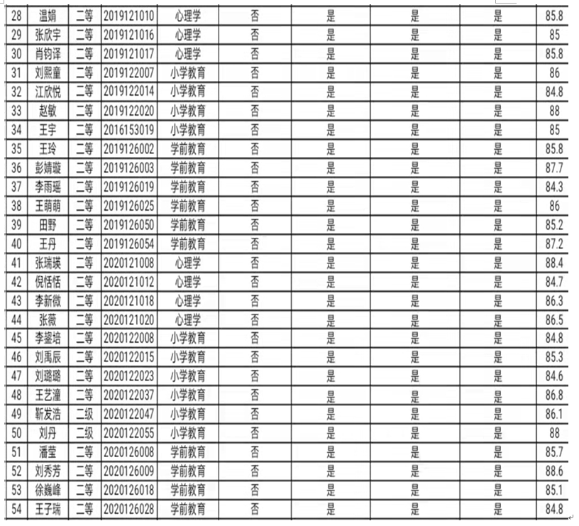
根据《牡丹江师范学院专业奖学金、优秀学生奖学金评选办法》要求,为奖励先进、树立典范,激励大学生刻苦学习,促进优良学风建设,现开展2021-2022学年专业奖学金评选工作,确定李一涵、刘玲雪等54名学生为2021-2022年度专业奖学金获得者。


现将具体名单面向全院师生进行公示,公示期为10月5日--10月7日。
公示期凡对名单有疑议者,可在公示期内反映,反映的情况及问题必须实事求是。
纪检部门电话:0453-6515766
学生处电话:0453-6516377
学院辅导员电话:0453-6511900
学院辅导员办公室:文科楼204
教育科学学院
2021年10月5日